芯片热分析综述

EETOP 2025-10-11 09:22


一、引言

随着集成电路技术的飞速发展,芯片的集成度和性能不断提升,但同时也面临着严峻的散热挑战。芯片热管理对于确保芯片的可靠性和性能至关重要。本文将对芯片热分析的背景、原理、方法、工具以及未来发展趋势进行综述。



二、芯片热分析的背景

(一)芯片散热需求

1. 高性能计算

随着人工智能、大数据等领域的兴起,高性能计算芯片(如GPU、FPGA等)的功耗急剧增加。如此高的功耗会导致芯片温度迅速升高,如果不加以控制,芯片的性能会大幅下降,甚至可能出现热失控,导致芯片损坏。

芯片热分析综述图2

2. 移动设备

在移动设备中,芯片需要在有限的空间内实现高性能。例如,智能手机中的应用处理器(AP)和调制解调器(Modem)芯片,其功耗虽然相对较低,但由于散热空间有限,散热问题同样突出。如果芯片温度过高,会导致手机发热、卡顿,甚至出现自动关机等现象。

芯片热分析综述图3

3. 数据中心

数据中心的服务器芯片需要长时间稳定运行。服务器芯片的功耗通常在100W - 200W之间,而且服务器芯片往往以高密度的方式部署在机架中。散热不良会导致服务器性能下降,增加能耗,甚至引发火灾等安全隐患。

芯片热分析综述图4

(二)热管理的重要性

1. 性能保障

芯片的性能与温度密切相关。一般来说,芯片的工作温度每升高10℃,其性能会下降约10%。因此,通过有效的热管理,可以确保芯片在最佳工作温度范围内运行,从而充分发挥芯片的性能。

2. 可靠性提升

高温会加速芯片内部材料的老化和损坏。例如,芯片中的金属互连线在高温下会发生电迁移现象,导致互连线断裂。通过合理的热设计,可以延长芯片的使用寿命,提高其可靠性。

3. 节能降耗

有效的热管理可以降低芯片的功耗。例如,通过优化芯片的散热结构,可以减少芯片的漏电功耗。此外,良好的散热还可以避免因过热而降低芯片频率,从而间接降低芯片的动态功耗。


三、芯片热分析的原理

(一)热传递的基本方式

1. 导热

导热是指热量在物体内部通过分子振动和自由电子运动等方式传递的过程。在芯片中,热量主要通过硅基底和金属互连线等材料进行导热。导热系数是衡量材料导热性能的重要参数,硅的导热系数约为148 W/(m·K),而铜的导热系数高达398 W/(m·K)。

2. 对流

对流是指热量通过流体(如空气、液体等)的运动传递的过程。在芯片散热中,对流主要发生在芯片表面与周围空气之间。自然对流是指由于空气温度差异导致的空气流动,而强制对流则是通过风扇等设备强制空气流动。一般来说,强制对流的散热效果比自然对流更好。

3. 辐射

热辐射是指物体以电磁波的形式向外发射热量的过程。在芯片散热中,热辐射的作用相对较小,但在一些高温环境下(如超过100℃)或在真空环境中,热辐射的散热作用不容忽视。芯片表面的辐射系数约为5 - 10 W/(m²·K⁴)。


(二)芯片热模型

1. 简化模型

在芯片热分析中,通常会建立简化的热模型来快速估算芯片的温度分布。例如,可以将芯片视为一个二维或三维的热阻网络。每个热阻代表芯片内部不同区域之间的热阻抗,通过计算热阻网络中的热流分布,可以得到芯片的温度分布。这种方法计算简单,但精度相对较低。

芯片热分析综述图5

2. 详细模型

 随着计算技术的发展,现在可以建立更详细的芯片热模型。例如,利用有限元分析(FEA)方法,将芯片划分为许多小的单元,每个单元都有自己的热特性。通过求解热传导方程,可以得到芯片内部的温度场分布。这种方法精度较高,但计算复杂度也较高。

芯片热分析综述图6

四、芯片热分析的方法

(一)实验方法

1. 热成像技术

热成像技术是一种常用的芯片热分析实验方法。通过红外热像仪可以实时测量芯片表面的温度分布。这种方法的优点是直观、快速,可以实时观察芯片在不同工作状态下的温度变化。但热成像技术只能测量芯片表面的温度,对于芯片内部的温度分布无法直接测量。

芯片热分析综述图7

2. 热电偶测量

热电偶是一种温度传感器,可以将温度变化转换为电信号。在芯片热分析中,可以在芯片内部或表面安装热电偶,通过测量热电偶的电信号来得到芯片的温度。这种方法的优点是精度高,可以测量芯片内部的温度。但热电偶的安装会对芯片的结构和性能产生一定的影响。

芯片热分析综述图8

3. 微探针技术

 微探针技术是一种高精度的芯片热分析方法。通过微探针可以测量芯片内部微小区域的温度。这种方法的优点是空间分辨率高,可以测量芯片内部不同层次的温度分布。但微探针技术的操作复杂,成本较高。

芯片热分析综述图9

(二)数值模拟方法

1. 有限元分析(FEA)

有限元分析是一种常用的数值模拟方法,用于求解芯片的热传导方程。通过将芯片划分为许多小的单元,每个单元都有自己的热特性,然后利用数值方法求解热传导方程,得到芯片内部的温度场分布。有限元分析的优点是精度高,可以考虑芯片内部复杂的几何结构和材料特性。但有限元分析的计算复杂度较高,需要大量的计算资源。

对于一个三维物体,其热传导方程可以表示为:

芯片热分析综述图10

其中:

·ρ 是材料的密度(单位:kg/m³)。

·c 是材料的比热容(单位:J/(kg·K))。

·T 是温度(单位:K)。

·t 是时间(单位:s)。

·k 是材料的导热系数(单位:W/(m·K))。

·Q 是内部热源密度(单位:W/m³)。

·∇ 是梯度算子。


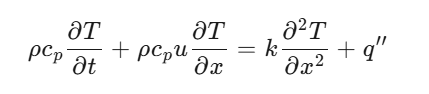
2. 计算流体动力学(CFD)

计算流体动力学是一种用于模拟流体流动和热传递的数值方法。在芯片热分析中,CFD可以用于模拟芯片表面与周围空气之间的对流换热。通过建立流体流动的数学模型,求解流体的流动方程和热传导方程,可以得到芯片表面的温度分布和流体的流动情况。CFD的优点是可以模拟复杂的流体流动和对流换热过程,但计算复杂度较高,需要专业的软件和硬件支持。

在CFD中,热传递通常通过求解以下热传递方程来实现:

芯片热分析综述图11

其中,ρ 是流体密度,cp 是比热容,u 是速度,k 是导热系数,q′′ 代表热源。

3. 多物理场耦合分析

多物理场耦合热分析是指在热分析中同时考虑多个物理场(如热、力、电、流体等)之间的相互作用。这种分析方法能够更全面地反映实际工程问题中的复杂物理现象.在实际的芯片热分析中,往往需要考虑多种物理场的耦合效应。例如,芯片的热分析需要考虑电热耦合效应,即芯片的功耗与温度之间的相互影响。通过建立多物理场耦合模型,可以更准确地模拟芯片的热行为。多物理场耦合分析的优点是可以考虑多种物理场之间的相互作用,但计算复杂度更高,需要更高级的数值方法和计算资源。

五、芯片热分析的工具

(一)商业软件

1. Cadence Celsius

芯片热分析综述图13

Cadence Celsius是一款强大的芯片热分析软件,提供了完整的电子系统AI散热设计和分析解决方案。它支持多物理场分析、多尺度分析以及AI驱动的优化功能。Celsius可以与Cadence的其他设计工具无缝集成,简化芯片热设计流程。其高性能并行计算架构可以显著提升热分析的效率。


芯片热分析综述图14

2. ANSYS Icepak

 ANSYS Icepak是一款专门用于电子散热分析的软件,基于ANSYS的有限元分析平台。它提供了丰富的热分析功能,包括热传导、对流换热和热辐射等。Icepak可以与ANSYS的其他模块(如结构分析、电磁分析等)进行耦合分析,实现多物理场的协同仿真。其用户界面友好,操作简单,适合工程师进行复杂的热分析。


3. COMSOL Multiphysics

 COMSOL Multiphysics是一款多物理场仿真软件,支持多种物理场的耦合分析。在芯片热分析中,COMSOL可以用于模拟芯片内部的热传导、电热耦合以及流体流动等复杂过程。其强大的数值计算能力和灵活的模型建立功能使其在芯片热分析中得到了广泛应用。但COMSOL的学习曲线较陡,需要一定的专业知识和经验。


(二)开源软件

1. OpenFOAM

 OpenFOAM是一款开源的计算流体动力学软件,基于有限体积法(FVM)进行数值计算。它提供了丰富的流体流动和热传递模型,可以用于芯片热分析中的对流换热模拟。OpenFOAM的优点是开源免费,用户可以根据自己的需求进行定制和扩展。但OpenFOAM的使用需要一定的编程基础和数值计算知识。

2. FEniCS

FEniCS是一款开源的有限元分析软件,基于Python语言进行开发。它提供了强大的有限元分析功能,可以用于芯片热传导方程的求解。FEniCS的优点是易于使用,用户可以通过简单的Python脚本进行复杂的有限元分析。但FEniCS的计算性能相对较低,对于大规模的芯片热分析可能不够高效。


六、芯片热分析的未来发展趋势

(一)人工智能与大数据

1. AI驱动的热优化

随着人工智能技术的发展,AI驱动的热优化将成为芯片热分析的重要发展方向。通过机器学习算法,可以对大量的热分析数据进行学习和分析,从而建立热模型与设计参数之间的映射关系。在实际的芯片热设计中,利用AI算法可以快速生成优化的设计方案,减少设计迭代次数,提高设计效率。

2. 大数据分析

 芯片热分析过程中会产生大量的数据,包括温度分布、热流分布、功耗分布等。通过大数据分析技术,可以对这些数据进行挖掘和分析,提取有价值的信息。例如,可以分析芯片在不同工作状态下的热行为规律,为芯片的热管理提供决策支持。

(二)多物理场耦合分析

1. 电热耦合

 在未来的芯片热分析中,电热耦合分析将更加重要。随着芯片功耗的增加,芯片的温度对功耗的影响将更加显著。通过建立电热耦合模型,可以更准确地模拟芯片的热行为,为芯片的低功耗设计提供支持。

2. 热应力耦合

 芯片的热应力问题也将成为研究的重点。高温会导致芯片内部材料的热膨胀,从而产生热应力。如果热应力过大,可能会导致芯片内部的微裂纹和互连线断裂等问题。通过热应力耦合分析,可以优化芯片的结构设计,降低热应力的影响,提高芯片的可靠性。


(三)新型散热技术

1. 微纳尺度散热

随着芯片尺寸的不断缩小,微纳尺度散热技术将得到广泛应用。例如,利用纳米材料的高导热性能,可以制备高性能的散热材料。此外,微纳尺度的热管理结构(如微通道、纳米孔等)也可以有效提高芯片的散热效率。

2. 液冷散热

液冷散热技术是一种高效的散热方式。通过在芯片表面或内部引入液体冷却剂,可以快速将热量带走。液冷散热技术的优点是散热效率高,但需要解决液体泄漏和系统复杂性等问题。未来,液冷散热技术将在高性能计算芯片和数据中心等领域得到更广泛的应用。


(四)标准化与规范

1. 热管理标准

 随着芯片热管理技术的不断发展,建立统一的热管理标准将成为必然趋势。标准化的热管理标准可以规范芯片热设计的流程和方法,提高芯片热管理的质量和可靠性。例如,可以制定芯片热设计的规范、热测试的标准等。

2. 热分析软件的标准化

热分析软件的标准化也将成为未来的发展方向。通过建立统一的热分析软件接口和数据格式,可以实现不同软件之间的数据共享和协同仿真。这将大大提高芯片热分析的效率,降低设计成本。

七、结论

芯片热分析是现代集成电路设计中不可或缺的重要环节。随着芯片性能的不断提升和功耗的增加,芯片热管理面临着越来越严峻的挑战。本文综述了芯片热分析的背景、原理、方法、工具以及未来发展趋势。通过实验方法和数值模拟方法的结合,可以更准确地分析芯片的热行为。商业软件和开源软件的不断发展为芯片热分析提供了强大的工具支持。未来,人工智能与大数据、多物理场耦合分析、新型散热技术以及标准化与规范将成为芯片热分析的重要发展方向。通过这些技术的发展和应用,可以有效解决芯片热管理问题,为芯片的高性能和高可靠性提供保障。







dsfsdfsdf

声明:内容取材于网络,仅代表作者观点,如有内容违规问题,请联系处理。 
芯片
more
稀土出口管制升级!芯片产业链又要改写?
1.8nm芯片来了!
中科亿海微SiP微系统——EQ6HL45S-M1CSG400芯片
高通芯片,太贵了
应用材料:芯片制造正在进入“原子时代”
翻身大作?关于英特尔第三代酷睿 Ultra 系列处理器的更多信息 | 区势·BigTech
长鑫科技“存储芯片第一股”IPO辅导完成
小米金沙江电池磁吸无线超薄充电宝拆解,采用伏达全套芯片方案
产业丨“无缝”生态之争,从芯片到系统博弈,回归“人”的本质
M5 芯片 iPad Pro、MacBook 蓄势待发,苹果或在十月连发多款新品
Copyright © 2025 成都区角科技有限公司
蜀ICP备2025143415号-1
  
川公网安备51015602001305号