前面发过中值、均值、高斯滤波的文章,这些只考虑了位置,并没有考虑相似度。那么双边滤波来了,既考虑了位置,有考虑了相似度,对边缘的保持比前几个好很多,当然实现上也是复杂很多。本文将从原理入手,采用Matlab与FPGA设计实现双边滤波算法。
1.双边波算法的实现
滤波算法的基本思路,就是采用周边像素,加权平均计算一个新的像素,来缓减噪声对当前像素的影响。我们已经介绍了均值滤波,中值滤波,高斯滤波算法。但这几种算法都不够完美,还有继续提升的空间:
1)均值滤波:简单粗暴的将窗口内的像素累加后求均值,将噪声平均化,同时边缘纹理也被抹平了,有模糊的作用,作为入门学习用。
2)中值滤波:采用窗口内中值的方法,有效剔除了异常高亮或过暗的噪声,对椒盐噪声的去除效果比较好,但实际的图像会伴随着边缘纹理,由于只考虑中值,也会将图像细节去除,只是比均值滤波稍微好一点而已。
3)高斯滤波:采用欧氏距离,权重呈正态分布,相比均值/中值更优,因为均值/中值权重未考虑距离因素,而高斯噪声则考虑了噪声相对当前像素,呈高斯分布的特性,效果更佳。但高斯滤波也只是考虑了距离,未考虑边缘纹理,对细节的保护仍然不佳。
那么,既考虑噪声高斯分布特性,由将图像边缘纹理考虑进去的滤波算法应运而生。这里我们提出更进一步的滤波—双边滤波。
我们这里在前面高斯滤波的基础上,追加实现双边滤波,计划采用3*3的窗口,高斯滤波权重直接采用上一节的代码生成,重点讲解如何进行权重的计算,及Matlab&FPGA的实现。
1.1.高斯滤波算法理论
双边滤波是一种非线性滤波器,它可以达到降噪平滑,同时又保持边缘的效果。和其他滤波原理一样,双边滤波也是采用加权平均的方法,用周边像素亮度值的加权平均,来代表某个像素的强度,所用的加权平均也是基于高斯分布。

引用双边滤波算法相关图解,如下所示,其中 为只考虑与当前像素空间距离的权重(space weight),而
为只考虑与当前像素空间距离的权重(space weight),而 则为只考虑和当前像素相似度的权重(range weight),最后相乘,得到
则为只考虑和当前像素相似度的权重(range weight),最后相乘,得到 则为同时考虑了距离与相似度的权重,公式累加后最后归一化,得到最终的权重(space & rang)。
则为同时考虑了距离与相似度的权重,公式累加后最后归一化,得到最终的权重(space & rang)。
由于双边滤波同时考虑了空间距离和像素相似度的影响,因此尤其在具有边缘梯度的图像中,能够有不错的效果。即在平坦区域,空间距离占优势,在边缘区域,像素间相似度占优势,可以直观的用下面这个图来表示(注明出处):

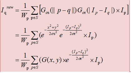
上述公式太抽象,我们进一步细化,并重新梳理如下。其中 为归一化因子,高斯分布参数
为归一化因子,高斯分布参数 由于最终需要归一化,就直接省略了:
由于最终需要归一化,就直接省略了:

从公式可知,对于给定的窗口大小(比如3*3),以及确定的方差 、
、 ,
, 为常数,可以提前计算好高斯模板,具体的计算方式在高斯滤波中已经给出,以3*3窗口,
为常数,可以提前计算好高斯模板,具体的计算方式在高斯滤波中已经给出,以3*3窗口, 为例,采用Data_Generate_nxn.m生成模板,如下所示(扩大了1024倍后):
为例,采用Data_Generate_nxn.m生成模板,如下所示(扩大了1024倍后):
因此接下来需重点处理的是相似度权重 ,这也是我们Matlab与FPGA RTL实现的重点了。
,这也是我们Matlab与FPGA RTL实现的重点了。
1.2.双边滤波Matlab实现
1.2.1.浮点双边滤波实现
首先,以3*3窗口, 为例,采用Data_Generate_nxn.m生成3*3高斯模板定点化后的结果,相关代码及生成的数据过程如下所示(扩大了1024倍后):
为例,采用Data_Generate_nxn.m生成3*3高斯模板定点化后的结果,相关代码及生成的数据过程如下所示(扩大了1024倍后):

最终得到的G3高斯模板为定点化后的结果,因此 就不需要再计算,接下来只需要关心相似度权重即可,即
就不需要再计算,接下来只需要关心相似度权重即可,即 的计算。针对灰度图像的权重计算,先计算当前像素的相似度分布权重,再计算最终的双边滤波,相关核心Matlab代码如下所示:
的计算。针对灰度图像的权重计算,先计算当前像素的相似度分布权重,再计算最终的双边滤波,相关核心Matlab代码如下所示:

这里套用的仍然是我们滤波窗口处理的Matlab相关代码,以3*3为例,具体解释如下:
1)42行:获取以当前像素为中心的n*n的图像窗口A;
2)44行:计算以当前像素为中心的n*n窗口内的相似度权重;
3)45行:将高斯权重与相似度权重点乘,得到同时考虑距离与相似度的双边滤波权重;
4)46行:归一化双边滤波权重;
5)47行:当前窗口与双边滤波权重卷积,累加后得到最终的结果。
这里44、45行是最重要的地方,最终结果就是完成上面 的计算结果。我们验证一下效果如何,如下所示,左图为原图,右图为3*3窗口,sigma_d = 3, sigma_r = 0.1的滤波结果:
的计算结果。我们验证一下效果如何,如下所示,左图为原图,右图为3*3窗口,sigma_d = 3, sigma_r = 0.1的滤波结果:

 ,而sigma_r即是
,而sigma_r即是 。
。% 灰度图像双边滤波算法实现
% I为输入的灰度图像
% n为滤波的窗口大小,为奇数
function B=bilateral_filter_gray(I,n,sigma_d, sigma_r)
% ---------------------------------------------------
% 仅供function自测使用
% clear all; close all; clc;
% I = rgb2gray(imread('../../images/Scart.jpg')); % 读取jpg图像
% n = 3; sigma_d = 3; sigma_r = 0.1;
dim = size(I); %读取图像高度、宽度
w=floor(n/2); %窗口 [-w, w]
% ---------------------------------------------------
% 计算n*n高斯模板
G1=zeros(n,n); %n*n高斯模板
for i=-w : w
for j=-w : w
G1(i+w+1, j+w+1) = exp(-(i^2 + j^2)/(2*sigma_d^2)) ;
end
end
% 归一化n*n高斯滤波模板
temp = sum(G1(:));
G2 = G1/temp;
% n*n高斯模板 *1024定点化
G3 = floor(G2*1024);
I = double(I);
% ---------------------------------------------------
% 计算n*n双边滤波模板+ 滤波结果
h = waitbar(0,'Speed of bilateral filter process...'); %创建进度条
B = zeros(dim);
for i=1 : dim(1)
for j=1 : dim(2)
if(i<w+1 </w+1|| i>dim(1)-w || jdim(2)-w)
B(i,j) = I(i,j); %边缘像素取原值
else
A = I(i-w:i+w, j-w:j+w);
% H = exp( -(I(i,j)-A).^2/(2*sigma_r^2) ) ;
H = exp( -((A-I(i,j))/255).^2/(2*sigma_r^2)) ;
F = G3.*H;
F2=F/sum(F(:));
B(i,j) = sum(F2(:) .*A(:));
end
end
waitbar(i/dim(1));
end
close(h); % Close waitbar.
I = uint8(I);
B = uint8(B);
% ---------------------------------------------------
% 仅供function自测使用
% subplot(121);imshow(I);title('【1】原始图像');
% subplot(122);imshow(B);title('【2】双边滤波结果');
我们进一步进行测试,与迁移章中的高斯滤波,在相同窗口,及sigma_d下进行对比,相关代码及结果如下所示(Bilateral_Filter_Test1.m):
clear all;
close all;
clc;
% -------------------------------------------------------------------------
% Read PC image to Matlab
% IMG1= imread('../../images/Lenna.jpg'); % 读取jpg图像
IMG1= imread('../../images/Scart.jpg'); % 读取jpg图像
IMG1 = rgb2gray(IMG1);
h = size(IMG1,1); % 读取图像高度
w = size(IMG1,2); % 读取图像宽度
imshow(IMG1);title('【1】原图');
% -------------------------------------------------------------------------
figure;
% -------------------------------------------------------------------------
IMG2 = imfilter(IMG1, fspecial('gaussian',[3,3],1), 'replicate');
IMG3 = imfilter(IMG1, fspecial('gaussian',[3,3],2), 'replicate');
IMG4 = imfilter(IMG1, fspecial('gaussian',[5,5],3), 'replicate');
subplot(231);imshow(IMG2);title('【1】高斯滤波3*3, sigma = 1');
subplot(232);imshow(IMG3);title('【2】高斯滤波3*3, sigma = 2');
subplot(233);imshow(IMG4);title('【3】高斯滤波5*5, sigma = 3');
% -------------------------------------------------------------------------
IMG6 = bilateral_filter_gray(IMG1, 3, 1, 0.1);
IMG7 = bilateral_filter_gray(IMG1, 3, 2, 0.3);
IMG8 = bilateral_filter_gray(IMG1, 5, 3, 0.8);
subplot(234);imshow(IMG6);title('【4】双边滤波3*3, sigma = [1, 0.1]');
subplot(235);imshow(IMG7);title('【5】双边滤波3*3, sigma = [2, 0.3]');
subplot(236);imshow(IMG8);title('【6】双边滤波5*5, sigma = [3, 0.8]');
 
如上图所示,第一行为高斯滤波,第二行为双边滤波,不难发现,双边滤波对边缘的保护成都更好。那么边缘滤波的3个参数:n、sigma_d、sigma_r对双边滤波强度的影响程度如何,我们进一步分析。

其次是sigma_r,同时3*3窗口,sigma_d=3下对比,如下所示:


综上,感性的分析,对滤波强度的影响,首先是滤波窗口,其次是sigma_r,最后才是sigma_d。所以固定窗口下,sigma_r有较大的权重,也正是因此,相似度是双边权重的一个重要因素,当相似度高时,则权重收距离的影响更大;反之则收到相似度影响更大,因此也能有效地保护边缘,这就是双边滤波。
1.2.2. 定点双边滤波实现
 ,这里不难看出,相邻2像素的插值的绝对值,一定∈[0,255],那么我们可以提前计算好
,这里不难看出,相邻2像素的插值的绝对值,一定∈[0,255],那么我们可以提前计算好 并定点化,那么就可以用查找表的方法来实现相似度权重的计算了。相关代码如下所示:
并定点化,那么就可以用查找表的方法来实现相似度权重的计算了。相关代码如下所示:
其中框框部分较为重要,详解如下:
1)第一个框:实现的是0-255下, 的查找表,同时为了避免出现浮点,将结果扩大了1024倍。
的查找表,同时为了避免出现浮点,将结果扩大了1024倍。
2)第二个框:根据查找表H,实现 的计算,其结果位宽为10bit;
的计算,其结果位宽为10bit;
3)第三个框:仍然将F2扩大1024倍后再运算,防止归一化出现浮点;
4)第四个框:将结果缩小1024倍,得到最终8bit的计算结果。
这样采用查找表的方式,我们不仅避免了指数的运算,同时也避免了浮点的运算,那么得到了定点化的 与
与 ,后续的计算都不在话下了。这是FPGA实现时通用的定点化方法,也是本文后续的实现方式。
,后续的计算都不在话下了。这是FPGA实现时通用的定点化方法,也是本文后续的实现方式。
% 灰度图像双边滤波算法实现
% I为输入的灰度图像
% n为滤波的窗口大小,为奇数
function B=bilateral_filter_gray_INT(I,n,sigma_d, sigma_r)
% clear all; close all; clc;
% I = rgb2gray(imread('../../images/Scart.jpg')); % 读取jpg图像
% n = 3; sigma_d = 3; sigma_r = 0.1;
dim = size(I); %读取图像高度、宽度
w=floor(n/2); %窗口 [-w, w]
% ---------------------------------------------------
% 计算n*n高斯模板
G1=zeros(n,n); %n*n高斯模板
for i=-w : w
for j=-w : w
G1(i+w+1, j+w+1) = exp(-(i^2 + j^2)/(2*sigma_d^2)) ;
end
end
% 归一化n*n高斯滤波模板
temp = sum(G1(:));
G2 = G1/temp;
% n*n高斯模板 *1024定点化
G3 = floor(G2*1024);
% ---------------------------------------------------
% 计算相似度指数*1024结果
% H = zeros(1, 256);
for i=0 : 255
H(i+1) = exp( -(i/255)^2/(2*sigma_r^2));
end
H = floor(H *1024);
I = double(I);
% ---------------------------------------------------
% 计算n*n双边滤波模板+ 滤波结果
h = waitbar(0,'Speed of bilateral filter process...'); %创建进度条
B = zeros(dim);
for i=1 : dim(1)
for j=1 : dim(2)
if(i<w+1 </w+1|| i>dim(1)-w || jdim(2)-w)
B(i,j) = I(i,j); %边缘像素取原值
else
A = I(i-w:i+w, j-w:j+w);
% H = exp( -(I(i,j)-A).^2/(2*sigma_r^2) ) ;
F1 = reshape(H(abs(A-I(i,j))+1), n, n); %计算相似度权重(10bit)
F2 = F1 * G3; %计算双边权重(20bit)
F3=F2*1024/sum(F2(:)); %归一化双边滤波权重(扩大1024)
B(i,j) = sum(F3(:) .*A(:))/1024; %卷积后得到最终累加的结果(缩小1024)
end
end
waitbar(i/dim(1));
end
close(h); % Close waitbar.
I = uint8(I);
B = uint8(B);
% subplot(121);imshow(I);title('【1】原始图像');
% subplot(122);imshow(B);title('【2】双边滤波结果');

最后,经常说双边滤波是一种磨皮算法,即去掉了斑纹又保持了边缘,那我们不妨找一个美女的头像测试一下,如下所示,为带噪声的神奇女侠(盖尔.加朵),在3*3窗口,sigma_d=3, sigma_r=0.1下的双边滤波效果。可见噪声被去除了,皮肤也变得光滑了,而且边缘纹理得以保留了。

这里处理的是彩色图像的双边滤波,需要RGB三通道,而我们的bilateral_filter_gray_INT()为灰度处理的函数,因此分3次分别处理了3个通道的数据,相关代码如下所示。当然也可以另行设计支持彩色图像的双边滤波函数,这个请读者自己努力,加油!
clear all;
close all;
clc;
% -------------------------------------------------------------------------
% Read PC image to Matlab
IMG1= imread('../../images/girl.jpg'); % 读取jpg图像
% -------------------------------------------------------------------------
subplot(121);imshow(IMG1);title('【1】原图');
IMG2(:,:,1) = bilateral_filter_gray_INT(IMG1(:,:,1), 3, 3, 0.1);
IMG2(:,:,2) = bilateral_filter_gray_INT(IMG1(:,:,2), 3, 3, 0.1);
IMG2(:,:,3) = bilateral_filter_gray_INT(IMG1(:,:,3), 3, 3, 0.1);
subplot(122);imshow(IMG2);title('【2】双边滤波3*3, sigma = [3, 0.1]');
1.3.双边滤波FPGA实现
clear all;
close all;
clc;
sigma_d = 3; sigma_r=0.1;
n=3;
w=floor(n/2);
% ---------------------------------------------------
% 计算n*n高斯模板
G1=zeros(n,n);
for i=-w : w
for j=-w : w
G1(i+w+1, j+w+1) = exp(-(i^2 + j^2)/(2*sigma_d^2)) ;
end
end
% 归一化n*n高斯模板
temp = sum(sum(G1));
G2 = G1/temp;
% n*n高斯模板 *1024定点化
G3 = floor(G2*1024);
% ---------------------------------------------------
% 计算相似度指数*1024结果
H = zeros(1, 256);
for i=0 : 255
H(i+1) = exp( -(i/255)^2/(2*sigma_r^2));
end
H = floor(H *1024);
这里采用3*3的窗口,sigma_d=3, sigma_r=0.3的强度为例,高斯权重生成的数据如下所示:

% ----------------------------------------------------------------------
fp_gray = fopen('.\Similary_LUT.v','w');
fprintf(fp_gray,'//Sigma_r = %d\n', sigma_r);
fprintf(fp_gray,'module Similary_LUT\n');
fprintf(fp_gray,'(\n');
fprintf(fp_gray,' input\t\t[7:0]\tPre_Data,\n');
fprintf(fp_gray,' output\treg\t[9:0]\tPost_Data\n');
fprintf(fp_gray,');\n\n');
fprintf(fp_gray,'always@(*)\n');
fprintf(fp_gray,'begin\n');
fprintf(fp_gray,'\tcase(Pre_Data)\n');
% -----------------------------
% 计算相似度指数*1024结果
Similary_ARRAY = zeros(1,256);
for i = 0 : 255
temp = exp( -(i/255)^2/(2*sigma_r^2));
if(temp == 1) %i=0
Similary_ARRAY(i+1) = 1023;
else
Similary_ARRAY(i+1) = floor(temp*1023);
end
fprintf(fp_gray,'\t8''d%03d : Post_Data = 10''d%d; \n',i, Similary_ARRAY(i+1) );
end
fprintf(fp_gray,'\tendcase\n');
fprintf(fp_gray,'end\n');
fprintf(fp_gray,'\nendmodule\n');
fclose(fp_gray);
这里特别需要注意的是,为了最后的映射的数据保证10bit位宽(方便FPGA RTL设计),当Similary_ARRAY(i)=1时,其结果取1023,而非1024。
执行后生成Similar_LUT.v,完成查找表的映射,文件代码如下,该文件可直接用于sigma_r下exp指数的运算。



 
            
         
     
     
     
     
     
     
     
     
    