一、电磁波频段
不同航天任务对通信距离、带宽、抗干扰性的需求不同,需匹配专属频段——频段选择错误可能导致信号被电离层吸收、雨衰过大或带宽不足,直接影响任务成败。
1.核心频段与任务适配性
无线电频谱按频率从低到高可分为多个区间,其中航天测控的“主力频段”集中在VHF至Ka频段,各频段特性及应用场景如下:

2.频段选择的 “国际规则”
航天频段使用需遵循ITU(国际电信联盟)与CCSDS(空间数据系统咨询委员会)规范,避免跨任务干扰:2025~2110MHz、8400~8450MHz频段仅限空间科学业务,禁止地面设备占用;深空探测X频段(7.145~7.235GHz)需预留10MHz保护带宽,防止与其他国家深空任务(如美国“毅力号”火星车)串扰;近地航天器的上行遥控频段与下行遥测频段需间隔≥200MHz,避免收发信号相互干扰。
二、测控网布局
航天器轨道运动导致单次过顶时间短(低轨卫星仅10~20分钟),需通过 “地基+空基+天基” 协同布局,实现全轨道无间断测控。
1.地基测控站:全球布点的 “基础单元”
地基站是测控网的核心,布局逻辑围绕 “视距覆盖” 与 “轨道互补” 展开:
视距覆盖计算:对于轨道高度h的航天器,单最大视距距离为:

(R=6378km为地球半径)
例:轨道高度400km的空间站,单站最大视距约 712km,需每700km部署一个地基站才能实现连续跟踪。我国地基网布局:在喀什(东经76°)、佳木斯(东经130°)、阿根廷(西经68°)建设深空站,覆盖东西半球,实现低轨航天器每90分钟过顶时的 “接力测控”。例如天问一号火星探测器飞掠地球时,喀什站与阿根廷站接力捕获信号,确保轨道修正指令无延迟发送。
2.空基平台:填补“低空盲区”
针对航天器上升段、再入段(高度<100km)的低空测控需求,采用“测量飞机 + 无人机”构建空基平台:

三、自由空间损耗
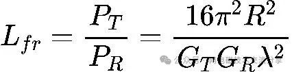
无线电波在传播中会因能量扩散产生损耗,工程中常用简化公式快速估算,其推导过程与单位换算逻辑是链路设计的核心。
1.简化公式的推导
该公式是工程中估算自由空间损耗的“快捷工具”,推导需结合dB定义与单位换算,步骤如下:
从“球面波扩散”原理出发,逐步推导自由空间损耗公式:
步骤 1:发射功率的球面分布假设发射天线为全向天线(增益GT=1),发射功率PT均匀分布在半径为R的球面上,球面上的功率密度(单位面积功率)为:

步骤 2:接收功率的计算接收天线的有效面积为:

(GR为接收天线增益,λ为信号波长),则接收功率为:

步骤 3:推导损耗公式
自由空间损耗Lfr定义为 “发射功率与接收功率的比值”,代入上述公式可得:

注:实际应用中,GT、GR需取天线实测增益,λ=c/f,c为光速3×10⁸m/s,f为信号频率。
Step 4:原始损耗公式
当发射 / 接收天线为全向天线(增益GT=GR=1)时,自由空间损耗为:

d为传播距离,λ为电磁波波长。
Step 5:转换为 dB 形式dB 定义为“功率比的10倍对数”,即

拆分对数项:

Step 6:代入波长与单位换算波长λ=c/f(c=3×108m/s为光速),代入得:

Step 7:计算常数项代入4π≈12.566、c=3×108m/s,计算常数项:20lg(4π)−20lgc≈20×1.099−20×8.477≈21.98−169.54≈−147.56dB
但此时d单位为米、f单位为赫兹,需转换为工程常用单位(d为千米、f为MHz):
f(MHz)=f(Hz)/106,
故20lgf(Hz)=20lg[f(MHz)×106]=20lgf(MHz)+120dB;
Step 8:合并常数项代入单位换算后的表达式,合并常数项:

至此,得到工程常用的自由空间损耗简化公式:
Lf=20lgd+20lgf+32.4
Lf:自由空间损耗;d:km,f:MHz。
2.工程实例:不同任务的损耗对比
1)近地任务(空间站):
d=400km,f=2GHz=2000MHz,则:
Lf=20lg400+20lg2000+32.4≈52+66+32.4=150.4dB,地面站需发射10W功率(40dBm),才能保证接收端获得−110.4dBm的可用信号;
2)深空任务(天问一号):火星最远距d=4×108km,f=8GHz=8000MHz,则:Lf=20lg(4×108)+20lg8000+32.4≈172+78.1+32.4=282.5dB,需通过50m口径天线(增益60dB)+200W高功率发射机(53dBm),抵消极端损耗。
3.额外损耗的补偿措施
实际链路中除自由空间损耗外,还需应对多种干扰,常用补偿手段如下:

四、噪声与抗干扰
无线电信号在传输中会受噪声干扰,需识别干扰来源并采取针对性抑制措施,确保测控精度。
1.主要噪声类型及影响
热噪声:电子元器件热运动产生的“高斯白噪声”,公式为:

是限制接收机灵敏度的核心因素,通过“低温接收机(液氮冷却至77K)”可降低噪声温度至数10K;
宇宙噪声:来自银河系、太阳的射电辐射,对S频段以下影响较大,通过 “窄带滤波” 可滤除大部分干扰;
人为噪声:工业设备、汽车点火产生的干扰,多集中在120MHz以下,对微波频段测控影响可忽略,通过 “电磁屏蔽” 减少干扰。
2.抗干扰技术的工程应用

五、无线通信路损(Path Loss)










